离子液体门电压是调控材料物理、化学性质的有效方法,可以产生很多有趣的现象,如绝缘体-金属相变、超导、变色、铁磁性等,进而在信息存储、神经突触模拟与仿生、传感器、催化等诸多领域具有巨大的潜在应用价值,从而引起了人们的广泛关注。
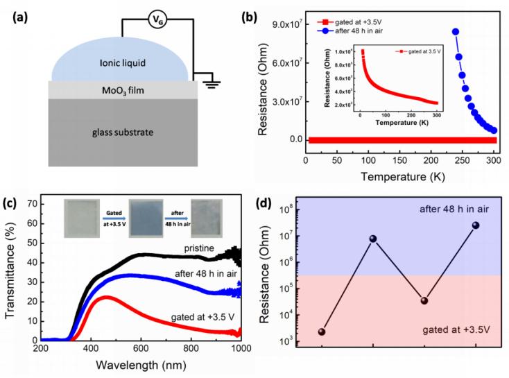
我院李小丽教授及其合作者以具有丰富晶体结构的MoO3材料为研究对象,将MoO3薄膜生长在玻璃衬底或者Li+离子导电陶瓷衬底上,构建了酸性离子液体门电压的MoO3器件。通过离子液体门电压调控,初始态的透明MoO3薄膜变为蓝色,同时伴随着带隙减小、电阻急剧降低等现象。这些变化与电场驱动下H+或Li+离子插入MoO3薄膜有关,其中H+和Li+离子分别来源于酸性离子液体和Li+离子导电陶瓷衬底。与选择非酸性离子液体相比,本实验的酸性离子液体本身含有H+离子可以有效避免调控效果对离子液体中含水量以及环境湿度等的依赖。本研究不仅有效地拓展了离子液体的选择范围,而且为离子液体调控材料的结构和物性,进而实现材料的多功能化提供了重要的思路。
相关成果以《Manipulating the optical and electronic properties of MoO3 films through electric-field-induced ion migration》为题发表在J. Mater. Chem. C, 10, 135–141, (2022).
全文链接:https://pubs.rsc.org/en/content/articlelanding/2022/TC/D1TC04659D

图1: (a)离子液体门电压调控MoO3器件示意图;(b)诱导后直接测试以及放置48 h后薄膜电阻随温度的变化; (c)诱导前后薄膜紫外可见图谱的变化; (d)诱导电阻变化的可逆性

图2:离子液体门电压调控H+或Li+离子插入MoO3薄膜的机制图.